L‘évolution technique rapide dans ce domaine tend à montrer que dans l’avenir, le nombre d’appareils électroniques grand public rechargeables ou utilisables sans fil prendra une large place. Le nombre de fabricants d’inductances pour la charge sans contact et de circuits intégrés va lui aussi augmenter pour répondre aux besoins croissants des utilisateurs. Depuis 2009 des consortiums internationaux ont été créés pour traiter de ce sujet (WPC, PMA, A4WP,..) et pour établir des standards concernant le rendement du transfert de la puissance, la sécurité...
Cette technologie a été comprise depuis des décennies à l’origine par Tesla. Qu’est ce qui fait qu’elle soit remise au goût du jour ? La facilité pour le grand public, quel plaisir de ne plus chercher son cordon pour recharger son téléphone portable, ou bien alimenter le nombre croissant d’« objets connectés ». Le monde industriel peut aussi utiliser cette technologie pour résoudre de nombreuses contraintes liées à des domaines d’utilisations sévères (milieux corrosifs, explosifs, stériles, hermétiques, et bien d’autres).
Le principe du transfert d’énergie entre un émetteur et un récepteur est connu depuis plus d’un siècle : L’analyse rapide de deux équations permet de comprendre le principe de base

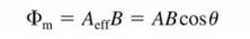
Tout d’abord le champ magnétique crée en un point p sur l’axe vertical d’une boucle est inversement proportionnel au rayon et à la distance.(Loi de Biot et Savart).

Le flux magnétique traversant la boucle est égal à :
A ce stade il est donc clair que la performance du système (couplage inductif) sera fortement liée à la distance et à l’alignement de l’émetteur est du récepteur.
Des développements plus récents montrent que, si l’on place l’un à côté de l’autre (c’est-à-dire dans le champ proche) deux circuits résonants dimensionnés pour un minimum de pertes et d’absorption (valeur Q importante) et résonnant à la même fréquence, la transmission de l’énergie entre l’émetteur et le récepteur est extrêmement efficace du fait d’un couplage d’ondes évanescentes.

Pour qu’un système de transfert d’énergie sans contact puisse fonctionner de manière efficace, l’émetteur et le récepteur doivent fonctionner à la même fréquence. A contrario s’ils sont désaccordés on pourra limiter ou réduire la puissance transmise.
Un autre point important à prendre en compte est la qualité du couplage entre l’émetteur et le récepteur. Là, plusieurs facteurs entrent en jeu :
La possibilité de canaliser les lignes de champs avec des matériaux magnétiques

L’alignement de l’émetteur et du récepteur

La sélection de la méthode d’alignement est un point crucial dans la phase de design
Le facteur de qualité des bobines utilisées
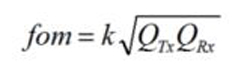
On peut montrer (après quelques pages de mathématiques) que le rendement d’un système résonnant peut être estimé par :

Avec le facteur de mérite :
.
Donc plus le facteur de qualité des bobines utilisées est élevé plus le rendement sera optimisé.
Il faut donc minimiser les pertes dans les bobines en réduisant au maximum la résistance AC qui est prédominante dans le calcul de Q.
L’utilisation de fil de Litz pour construire le bobinage est la meilleure solution.
Würth Elektronik eiSos, en tant que membre du Wireless Power Consortium (WPC) et de l‘Alliance for Wireless Power (A4WP) connue aujourd’hui sous le nom de « Rezence », a mis au point, comme solution propriétaire, différentes bobines émettrices et réceptrices sans fil compatibles avec le standard Qi. Quelques bobines émettrices et réceptrices sont représentées ci-après.



