Les alimentations à découpage créent des interférences conduites en raison des composantes de courant alternatif dans leurs lignes, indépendamment de leur topologie et application. Certains fabricants de composants ont donc optimisé leurs modules de puissance pour une faible émission d’interférences conduites et rayonnées. L’ondulation résiduelle de ces types de modules présente généralement une valeur négligeable, ce qui signifie qu’il peut être possible de se dispenser d’un filtre de sortie dans la plupart des applications. Puisque le courant d’entrée du convertisseur abaisseur de tension est pulsé, cela peut générer des interférences radiofréquence dans l’application. En fonction de l’application spécifique, le développeur décide si un filtre d’entrée est nécessaire directement en amont du module de puissance ou à un autre emplacement dans le système. Cet article aborde le processus de conception des filtres d’entrée pour les modules de puissance optimisés, ainsi que les techniques de mesure.
Pour commencer, il est utile d’illustrer comment les bruits en mode différentiel se développent. Les bruits en mode différentiel sont des signaux d’interférence dans un système avec un courant symétrique allant et venant entre la source et la charge dans les lignes d’une alimentation à découpage.

Dans le circuit d’entrée, la fréquence de découpage du module de puissance comprend une composante alternative superposée au courant utile et sa configuration est similaire au courant à travers l’inductance de stockage du module de puissance. Le courant d’entrée circule dans le condensateur d’entrée Cin. Les condensateurs réels possèdent une composante résistive, l’ESR, et une composante inductive, l’ESL comme le montre la figure 2.
En raison de l’ESR du condensateur d’entrée et des impédances des pistes du module de puissance, la com-posante de courant alternatif produit une chute de tension indésirable.

Sous cette forme, la tension de bruit apparaît comme un signal en mode différentiel. L’amplitude de la tension d’interférence qui se produit au niveau du condensateur d’entrée dépend essentiellement de l’ESR du condensateur utilisé. Les condensateurs électrolytiques ont une ESR relativement élevée, dont la valeur peut aller de quelques milliohms à plusieurs ohms. Par conséquent, la tension d’interférence peut varier entre quelques millivolts et plusieurs volts. D’autre part, les condensateurs céramiques ont une très faible ESR, de l’ordre de quelques milliohms, et produisent donc une tension de bruit de quelques millivolts. En outre, la conception du circuit imprimé du module de puissance exerce un grande influence sur la tension d’interférence.
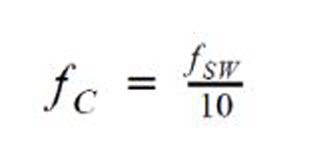
Pour réduire les bruits en mode différentiel, il faut installer au moins un simple filtre LC à l’entrée du convertisseur afin de minimiser la composante alternative dans le circuit. Un tel filtre d’entrée peut théoriquement produire une atténuation de 40 dB/décade. En pratique, on obtient un degré d’atténuation plus faible puisque les impédances de terminaison ont une faible résistance par nature, mais aussi parce que les composants euxmêmes présentent des pertes. Lors du dimensionnement du filtre LC, une fréquence de coupure fc inférieure à la fréquence de découpage fsw du module de puissance est sélectionnée. Si le facteur entre ces fréquences est de 1 sur 10, théoriquement une perte d’insertion de 40 dB est obtenue à la fréquence de découpage à laquelle l’amplitude spectrale la plus élevée se produit.

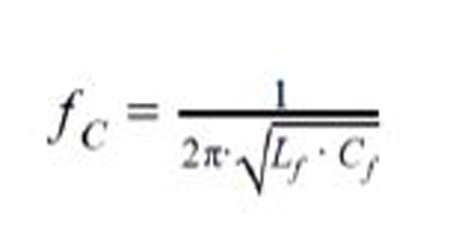
La fréquence de coupure d’un filtre LC est généralement :

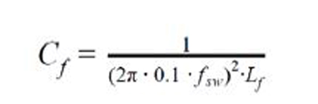
À titre d’exemple pour le calcul du filtre, une inductance de 10 μH est sélectionnée et l’équation (2) est transformée en

En agençant les composants du filtre comme représenté sur la figure 3, le condensateur de filtrage peut être positionné sur le côté de la source de tension ou sur le côté d’entrée du module de puissance. Le facteur décisif pour l’atténuation du courant pulsé provenant de la source de tension est la valeur de l’inductance.

Lorsque le facteur de qualité à la résonance du filtre est trop élevée, des oscillations peuvent se produire en cas de modification de la tension d’entrée à réguler. Le critère de stabilité qui s’applique ici est que l’impédance de sortie du filtre d’entrée Zout,filter doit être inférieure à l’impédance d’entrée du module de puissance Zin,converter dans un large spectre de fréquences.

De plus, la fréquence de coupure fc du filtre d’entrée doit se trouver très en dessous de la fréquence fco (à laquelle le gain de la fonction de transfert en boucle ouverte est égal à zero) du module de puissance.

La figure 4 montre comment on obtient ce résultat en plaçant un amortisseur en parallèle à l’entrée du module de puissance.

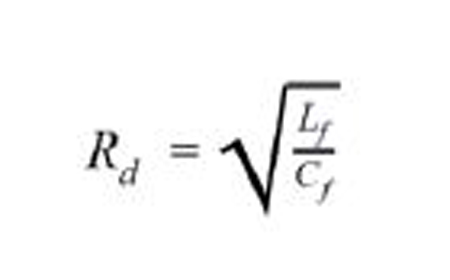
L’amortisseur réduit le facteur de qualité du filtre d’entrée et, par conséquent, son impédance de sortie à la fréquence de résonance. L’équation (6) peut être appliquée pour calculer la résistance d’atténuation Rd pour un facteur de qualité de filtre de Qf = 1 :

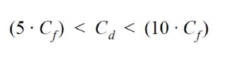
Une valeur qui s’est établie dans la pratique en tant qu’indicateur de la capacité du condensateur Cd est la mesure de cinq à dix fois la capacité du condensateur Cf.

En alternative, le filtre peut être amorti en sélectionnant un condensateur électrolytique qui est ajouté parallèlement à la sortie du filtre au lieu de sytème d’amortisseur. En règle générale, la valeur de l’ESR du condensateur électrolytique peut être suffisante pour réduire le facteur de qualité du filtre.
Dans la réalité, les condensateurs et les bobines présentent des propriétés capacitives et inductives. Les selfs de filtrage ont leur plus grand effet de filtre à leur fréquence d’auto-résonance (self-resonant frequency – SRF). Dans les bobines, la SRF dépend fortement de l’inductance et du couplage capacitif entre les spires de l’enroulement. Dans les condensateurs, la SRF dépend fortement de la capacité et de la longueur de leurs terminaisons. Lors de la sélection des composants du filtre, il est donc conseillé de s’assurer que la SRF se situe à l’extrémité supérieure de la plage de fréquence dans laquelle la tension RFI est maximale ou, respectivement, dans laquelle le filtre doit être actif. Le facteur décisif pour la réduction du bruit en mode différentiel est la self de filtrage, car c’est le composant qui contrecarre la montée et la chute rapides du courant dans le circuit d’entrée. La figure 5 montre les courbes d’impédance de trois selfs à noyau tubulaire sur la base d’un exemple de la famille de produits Würth Electronics WE-SD.

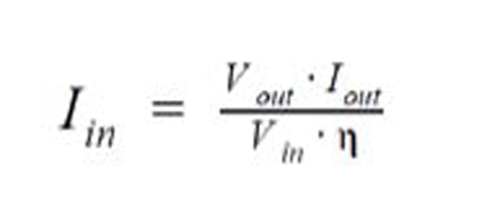
Plus l’inductance est élevée, plus la SRF est faible. Il est recommandé de sélectionner une self avec une inductance dont la valeur numérique est inférieure à la capacité du condensateur de filtrage. En pratique, on sélectionne une self de filtrage d’une valeur maximale de 10 μH, car, en fonction de la conception, cette self a une fréquence de résonance d’environ 30 MHz. Le dépassement du courant nominal de la self de filtrage peut endommager le fil du bobinage. En prenant pour base le rendement du régulateur à découpage, il est possible de calculer le courant d’entrée effectif du module de puissance en utilisant l’équation (8)

Pour des raisons de sécurité, une valeur plus élevée doit être sélectionnée pour le courant nominal de l’inductance de filtrage. Le condensateur de filtrage peut prendre la forme d’un condensateur à électrolyte liquide, d’un condensateur polymère ou même d’un condensateur céramique. Le seul aspect à prendre en compte est que le facteur de qualité du filtre à la fréquence de coupure soit suffisamment faible (voir la section 4).
D’autres mesures doivent être prises en compte lors du dimensionnement d’un filtre Π. Dans le cas optimal, un filtre d’entrée doit être placé le plus près possible de l’entrée du module de puissance. Si le filtre d’entrée est placé plus loin en raison de circonstances géométriques, les pistes peuvent agir comme une antenne entre le filtre d’entrée et le module de puissance aux fréquences plus élevées. L’inductance parasite de la piste peut cependant également être utilisée avec un condensateur en ceramique pour établir un filtre LC supplémentaire avec une fréquence de coupure plus élevée (voir Figure 6). En raison de son ESR négligeable, un condensateur en céramique peut rapidement court-circuiter les tensions haute fréquence à la masse avec une impédance faible.

La SRF du condensateur doit se situer approximativement dans le spectre de la fréquence de découpage du module de puissance. Pour illustrer ce point, la figure 7 montre les courbes d’impédance des condensateurs céramiques WCA-CSGP de Würth Elektronik de taille 0805.

Parmi les composants représentés sur la figure 7, à une fréquence de découpage de 2 MHz, par exemple, un condensateur de 1 μF conviendrait (fréquence de résonance marquée en rouge). Même un condensateur céramique de 100 nF (fréquence de résonance marquée en bleu), qui est utilisé comme condensateur de découplage dans de nombreux circuits électroniques, serait un candidat approprié à ces valeurs ; il convient toutefois de mentionner que, par rapport à la version de 1 μF, le condensateur de 100 nF a une ESR neuf fois supérieure.
Certains modules de puissance sur le marché, tels que les modules de puissance Würth Elektronik MagI³C, présentent une ondulation résiduelle négligeable en sortie, ce qui explique pourquoi un filtre de sortie n’est pas absolument nécessaire. Dans le cas où des composants alimentés par le régulateur à découpage découplent des signaux parasites via des interfaces (par exemple, commutateurs de capteurs, circuits de commutation analogiques), il peut être nécessaire d’inclure un filtre de sortie pour filtrer la tension.

La tension de bruit est mesurée conformément à la norme de base CEI CISPR 16-2-1, qui décrit les types de variables d’interférence à mesurer, l’équipement à utiliser pour les différentes interfaces et la configuration de mesure pour le matériel posé au sol et sur table. Les interférences sont évaluées dans la plage de fréquence de 9 kHz à 30 MHz. Les dispositifs de mesure comprennent, outre le récepteur EMI, divers réseaux de stabilisation d’impédance de ligne (LISN), des sondes de tension, des pinces de courant et des coupleurs capacitifs. Dans une configuration de mesure pour matériel posé sur table, comme représentée sur la figure 9, l’objet du test (DUT, « device under test ») est positionné sur une table non conductrice reposant sur un plan de masse de référence. La hauteur de la table doit être de 40 cm. Dans le cas où un plan de référence vertical est également présent, la hauteur de la table doit être d’au moins 80 cm. Le LISN doit être raccordé au plan de masse en assurant une bonne conductivité. Le DUT luimême et tous les câbles attachés doivent être disposés de manière à être distants de 40 cm du plan de masse.

La longueur du câble entre le DUT et le LISN ne doit pas dépasser 80 cm. Le récepteur EMI évalue la tension de bruit asymétrique qui est découplée sur le LISN pour les conducteurs séparés du câble.
La méthode de mesure du bruit rayonné au-dessus de 30 MHz est décrite dans la norme de base CEI CISPR16- 2-3. L’environnement de mesure se présente généralement sous la forme d’une salle anéchoïque avec un sol conducteur ou, à plus petite échelle, une chambre anéchoïque. Ici aussi, le DUT est positionné sur une table non conductrice (pour les appareils portables ou de table, voir Figure 10) ou sur le sol. Pour permettre au DUT de tourner sur son propre axe dans son état par défaut pendant la mesure, il est placé sur une table rotative. Dans les salles anéchoïques plus grandes, l’antenne réceptrice est placée à une distance de 10 m du DUT et ajustée à sa hauteur pendant la mesure pour trouver l’intensité maximale du champ électrique à chaque fréquence de mesure (spectre de crête). De plus, l’orientation de l’antenne est modifiée (polarisation horizontale et verticale). Dans les chambres anéchoïques plus petites, la distance entre l’antenne et le DUT devrait être de 3 m ; puisque la hauteur de l’antenne doit être fixe, le balayage en hauteur est omis et le sol entre l’antenne et le DUT doit être recouvert de matériau absorbant.

La section suivante décrit la mesure de la tension de bruit à l’aide d’une carte d’évaluation de module de puissance Würth Elektronik MagI³C équipée d’un module régulateur abaisseur variable (171 020 601) à titre d’exemple.
Dès la phase préliminaire, il est possible de mesurer la composante de courant alternatif à l’entrée du module de puissance à l’aide d’un oscilloscope. En effectuant une analyse dans le domaine temporel, le spectre d’interférence anticipé peut être estimé au début du travail sur la conception du filtre.

La figure 11 montre une composante de courant alternatif de 80 mV, mesurée à une tension d’entrée du module d’alimentation de 7,5 V, un courant d’entrée moyen de 1,2 A et un courant de charge moyen de 2 A. Les régulateurs à découpage ont la propriété de se présenter comme résistance différentielle négative du point de vue de l’alimentation. Le courant d’entrée augmente lorsque la tension d’entrée diminue. Pour cette raison, la tension de bruit est mesurée dans les conditions du « pire des cas », soit avec une tension d’entrée minimale et un courant maximal. Cependant, le facteur décisif dans l’analyse de ce type d’émission de bruit reste la mesure de la tension de bruit, qui peut être réalisée dans un laboratoire CEM. La figure 12 montre le résultat d’une mesure de tension de bruit sans filtre d’entrée.

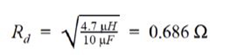
Ce module de puissance fonctionne à une fréquence de découpage de 370 kHz. Dans le spectre d’interférence, l’amplitude la plus élevée (pic rouge : 68 dBμV) peut être mesurée à cette fréquence. La densité d’amplitude de la tension de bruit diminue d’environ 40 dB/décade, ce qui signifie qu’aucun niveau d’interférence significatif ne peut être vu au-dessus de la 15e harmonique. Néanmoins, ce n’est qu’au-dessus de la 9e harmonique que le niveau d’interférence est inférieur de plus de 10 dB à la limite du détecteur moyen (ligne bleu foncé). L’équation (3) de la section 3 peut maintenant être utilisée pour calculer un filtre d’entrée LC approprié. En raison de la fréquence de découpage relativement basse, une inductance de 4,7 μH avec une faible SRF est sélectionnée et la capacité du filtre est calculée.

Le condensateur de filtrage sélectionné est celui avec une capacité un peu plus élevée de 10 μF. Le courant d’entrée maximal est calculé à l’aide de l’équation (8) de la section 3.
Ce calcul nécessite le rendement de la carte d’évaluation, qui est déterminée par mesure et dans ce cas a une valeur de 91 %.

Sur la base des calculs de l’inductance du filtre et du courant d’entrée, il est maintenant possible de sélectionner une self appropriée. Une inductance non blindée de la série Würth Elektronik PD2, taille 5820, a été choisie. La figure 13 montre le résultat de la mesure de tension de bruit avec le filtre adapté.

Le niveau d’interférence mesuré à la fréquence de découpage de 370 kHz a une valeur de 30 dBμV. Les niveaux de toutes les harmoniques sont inférieurs à 20 dBμV et sont donc suffisamment atténués. Le niveau moyen à 370 kHz correspond au niveau de crête et est inférieur de 18 dB à la limite moyenne de 47 dBμV. En mesurant de telles interférences conduites dans le contexte pratique, un rapport signal sur bruit de cette dimension est tout à fait suffisant pour confirmer la conformité de cette mesure.
Le but de la mesure de la tension de bruit est de démontrer l’utilité d’une analyse du potentiel d’interférence dans le domaine temporel ; bien qu’une analyse dans le domaine fréquentiel demeure indispensable. Enfin, les équations de la section 3 peuvent être utilisées pour calculer une résistance d’amortissement.

Plus la valeur de la résistance est élevée, plus l’amortissement de la résonance du filtre est élevée. Dans ce cas, la prochaine résistance supérieure de la série E12 de 1 Ω peut être sélectionnée. Une valeur de 47 μF est sélectionnée pour le condensateur d’amortissement. Il peut s’agir par exemple d’un condensateur céramique Würth Elektronik eiCap de la série WCAPCSGP.
Les mesures ci-dessus ont été effectuées conformément à la norme CEI CISPR16-2-1, comme décrit dans la section 8. L’utilisation d’un LISN a permis de découpler la tension asymétrique et de l’assimiler à la tension asymétrique (mode commun), qui a ensuite été comparée à la limite, issue de la norme CEI CISPR 22 pour les appareils à usage privé et commercial (classe B). Pour les composants d’alimentation électrique - et cela inclut tous les types de contrôleurs de commutation - il n’existe pas de norme CEM directement applicable. L’ensemble de l’application dans laquelle le régulateur à découpage est utilisé doit être affecté à une catégorie spécifique d’appareils, puis testé selon la norme correspondante applicable au produit ou à la famille de produits. Dans ce cas, la norme CEI CISPR 22 pour les installations informatiques a été prise uniquement en référence aux limites, qui sont également données dans la norme générique CEI 61000-6-3. Les normes génériques peuvent être utilisées dans les cas pour lesquels il n’existe pas de norme spécifique pour l’appareil en question.
Quelle que soit la taille de la composante de courant alternatif concernée, un filtre d’entrée est aujourd’hui comme jamais un facteur nécessaire pour une validation CEM réussie d’un régulateur à découpage. Des équations simples à appliquer peuvent être utilisées pour calculer un tel filtre d’entrée sur une base individuelle. Tenir compte des impédances du filtre et du régulateur à découpage dans les équations permet d’éviter les oscillations et assure également la stabilité de commande du régulateur à découpage. Une sélection ciblée des composants du filtre jette les bases d’une conception optimale du filtre. Doté d’un niveau de compétence technique approprié dans les méthodes de test CEM, le développeur de matériel peut concevoir son alimentation à découpage de manière ciblée et, si nécessaire, effectuer lui-même les réglages du filtre