L’essor de l’IoT (Internet of Things, ou internet des objets) a stimulé la demande de dispositifs intelligents tels que les capteurs et les actionneurs, qui sont auto-alimentés ou capables de fonctionner pendant de longue périodes, voire plusieurs années, à partir d’une source d’énergie aussi petite qu’une pile de type pièce de monnaie. L’art de la conception ultra-faible consommation est rapidement devenu extrêmement sophistiqué, depuis le système de moisson d’énergie ou de gestion de batterie, jusqu’à l’antenne, sans parler de l’extinction des différents sous-systèmes quand ils ne sont pas nécessaires, de manière à tirer le maximum de chaque joule disponible.
Même si votre conception matérielle et logicielle a mis l’accent sur les économies d’énergie, les fuites de condensateurs risquent de contrecarrer tous vos efforts pour que les milliampères-heures disponibles durent assez longtemps. Plusieurs condensateurs sont typiquement nécessaires pour stabiliser la puissance d’un système de moisson d’énergie ou d’un convertisseur continu-continu, et lorsque ces condensateurs sont chargés, ils se comportent un peu comme des seaux qui fuient et laissent en permanence un peu de charge se dissiper, en gaspillant une précieuse énergie.

Bien qu’il ne s’agisse que de quelques microampères, le courant de fuite peut être du même ordre que ce que vous vous évertuez à économiser, par exemple en jonglant avec les modes d’économie d’énergie du microcontrôleur. Il est donc judicieux d’analyser les courant de fuite des condensateurs présents dans le circuit, et d’envisager d’en choisir d’autres pour réduire les fuites.
La Figure 1 montre le réseau de condensateurs réservoirs recommandé pour un modèle de référence de capteur PIR (Passive Infra Red, ou infrarouge passif) publié par TI et comprenant cinq condensateurs. Typiquement l’objectif est de permettre à ce type de produit de fonctionner pendant dix ans sans entretien, mais le choix de mauvais condensateurs peut entraîner une consommation que la pile de type pièce de monnaie ne sera pas capable de supporter pendant dix ans.
De même, dans un système à moisson d’énergie, une grande capacité est nécessaire pour piloter l’application et cette capacitance est calculée en fonction de la consommation moyenne. Une petite partie de l’énergie récoltée par le mécanisme de moisson, qu’il s’agisse d’une cellule solaire ou d’un module Peltier, est stockée dans les condensateurs et se dissipe avec le temps.
Choisir la bonne technologie, la bonne tension nominale et la bonne valeur de capacité peut faire une énorme différence au niveau de l’énergie perdue du fait des fuites.
Jetons un oeil aux MLCC (Multi Layer Ceramic Capacitor, ou condensateur céramique multicouches) qui sont couramment utilisés pour filtrer le bruit et pour fournir l’énergie nécessaire à couvrir les micro-coupures d’alimentation et à assurer une extinction dans de bonnes conditions. Comme le courant de fuite est faible, l’effet est quantifié à l’aide de la résistance d’isolement du dispositif : une résistance d’isolement plus élevée signifie moins de fuites.
Les MLCC sont constitués de plusieurs plaques parallèles empilées et séparées par un diélectrique céramique. En règle générale, on cherche à obtenir la valeur de capacité la plus élevée possible, dans le boîtier le plus petit possible. Les fabricants de condensateurs ont mis au point des couches diélectriques minces, des particules fines et des technologies de laminage de précision, pour augmenter la capacité dans la limite des dimensions des boîtiers CMS standard. D’un autre côté, des couches diélectriques plus épaisses sont nécessaires pour obtenir une tension nominale plus élevée : augmenter la tension nominale augmente la résistance d’isolement et réduit donc les fuites, bien que la capacité se trouve également réduite à taille de boîtier constante.
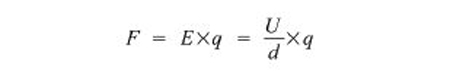
Nous pouvons donc voir comment l’épaisseur de diélectrique, la tension appliquée et la mobilité des électrons, influencent le courant de fuite. Le champ électrique à l’intérieur du condensateur exerce une force sur les particules chargées :

Cette force entraîne un flux d’électrons à l’intérieur de l’appareil, ce qui donne naissance au courant de fuite. Pour une tension appliquée donnée, il est clair que la force F, et donc le courant de fuite, augmente quand l’épaisseur du diélectrique, d, diminue.
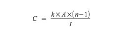
Une autre façon d’exprimer la relation entre la capacité et la taille du boîtier est l’équation :

On peut voir que si l’on veut conserver la même capacité tout en diminuant l’empreinte (par exemple en passant d’un boîtier 0812 à un boîtier 0402), on peut soit réduire l’épaisseur du diélectrique, soit augmenter le nombre de couches. L’approche la plus courante est d’utiliser une combinaison des deux. Au global, on observe que réduire la taille du condensateur augmente de façon inhérente les fuites.
Il faut aussi tenir compte de la variation des fuites en fonction de la température. Plus la mobilité des particules chargées augmente sous l’effet de la température, plus les fuites augmentent. Dans la pratique, les fuites de MLCC augmentent d’un facteur supérieur à 7 entre la température ambiante et 45°C.
Le calcul du courant de fuite permet d’évaluer son effet sur l’autonomie de la batterie. Notez qu’immédiatement après l’application de la tension, le courant circulant dans le condensateur est la somme du courant de charge et des courants d’absorption diélectrique, ainsi que du courant de fuite. Lorsque le courant de charge et le courant d’absorption diminuent, le courant total converge vers le courant de fuite.
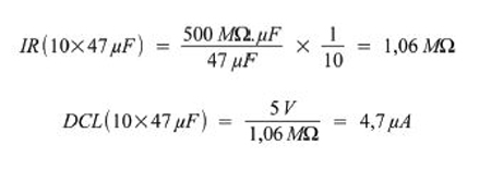
La fiche technique d’un condensateur céramique indique la résistance d’isolement minimale garantie, ou la limite de résistance d’isolement, en Ohm-Farad (Ω-F), en fonction de la taille du boîtier et de la capacité. Pour calculer la résistance d’isolement d’un condensateur donné, il suffit de rechercher la valeur en Ohm-Farad indiquée pour le condensateur et de la diviser par la valeur de capacité. Le courant de fuite à la tension de fonctionnement peut alors être calculé en appliquant la loi d’Ohm :

Considérez cet exemple, si vous utilisez dix MLCC 47μF à diélectrique X7R du commerce pour le filtrage de rail, à une tension de travail de 5V. La fiche technique garantit une spécification de résistance d’isolement de 500 MΩ.μF pour ce dispositif :

On peut alors le courant de fuite continu pour le réseau de 10 condensateurs :

Les condensateurs tantale se caractérisent par un rendement volumétrique élevé, un faible bruit et une bonne stabilité dans le temps, ce qui en fait d’excellents choix pour les dispositifs IoT qui disposent d’une énergie limitée, et qui doivent pouvoir fonctionner sans entretien pendant une longue période.
Pour ce type de condensateur, il est sensiblement plus facile d’évaluer le courant de fuite DC que pour les condensateurs céramique. Leurs fiches techniques expriment le courant continu de fuite directement comme une fraction du produit capacité par tension. Pour la série de condensateurs MnO2 standard KEMET T491, la formule est :

Ainsi, pour une capacité de 470 μF avec une tension appliquée de 5V, selon la formule précédente, le courant de fuite continu est :

Pour la série KEMET T489, spécialement conçue pour un faible courant de fuite, la formule est :

Par conséquent, le remplacement de condensateurs T491 par des T489 de 470 μF permet une réduction sensible du courant de fuite.
Dans le cas des condensateurs tantale, le courant de fuite dépend surtout du rapport entre la tension appliquée et la tension nominale, à cause du lien entre la tension nominale et l’épaisseur du diélectrique.
Le graphique de la Figure 2 montre comment le courant de fuite se voit considérablement réduit lorsque la tension appliquée est très inférieure à la tension nominale. Spécifier un condensateur dont la tension nominale est 10 fois supérieure à la tension appliquée peut réduire le courant continu de fuite d’un facteur 50. Les concepteurs peuvent en profiter dans le cas de circuits nécessitant un très faible courant de fuite, au détriment d’une augmentation de la taille de l’appareil.
Notez que les fuites dépendent aussi de la température, ce qui doit être pris en compte pour calculer l’impact sur le budget énergétique du système.
Il est important de tenir compte du phénomène des fuites de courant continu des condensateurs lors de la conception de systèmes ou de dispositifs à très faible consommation, qui doivent fonctionner pendant une longue période sans que l’on ne puisse les recharger ni remplacer la batterie. Les exemples sont notamment les capteurs PIR (Passive Infra Red ou infrarouge passif), et les systèmes à moisson d’énergie, qui ont besoin d’une capacitance élevée pour maintenir stable l’alimentation en énergie du système.
Cela vaut la peine de calculer l’impact du courant de fuite sur le bilan énergétique du système dans son ensemble, afin de déterminer les mesures d’atténuation nécessaires. Les condensateurs céramique avec des valeurs de capacité élevées ont tendance à avoir des fuites de courant continu plus élevées. D’un autre côté, les appareils dont la tension nominale est plus élevée bénéficient de fuites moindres, mais présentent également une valeur de capacité plus faible à taille de boîtier constant. Les fuites peuvent être réduites en spécifiant des condensateurs issus de familles spéciales à faible fuite, comme la série tantale T498.
