Dans cet article, j’examinerai un paramètre souvent omis, à savoir la capacité d’entrée, et son impact sur la conception et la stabilité du système.
Il existe deux types de capacité d’entrée : la capacité différentielle et la capacité de mode commun. La première, CID, est la capacité parasite entre l’entrée non inverseuse et l’entrée inverseuse d’un ampli op. La seconde, CIC, est la capacité parasite entre chaque entrée et la terre. Ces deux types de capacité sont représentés dans la Figure 1. [1]

Pour de nombreux ampli op, ces capacités sont spécifiées dans la fiche technique. Elles sont généralement inférieures à 10 pF, comme le montre la Figure 2.

Pour concevoir un étage de gain d’ampli op simple, on commence par sélectionner un amplificateur présentant la tension d’alimentation et le produit gain-bande adaptés à l’application. Les équations de gain 1 et 2 déterminent la valeur des résistances R1 et R2 pour les circuits d’amplificateur opérationnel inverseur et non-inverseur classiques représentés par la Figure 3 :
Gain du montage inverseur :

Gain du montage non-inverseur :

Pour comprendre comment la capacité d’entrée peut affecter les choix de conception de ce type de circuits, évoquons d’abord une méthode d’analyse de stabilité qui illustrera clairement les problèmes susceptibles de survenir.
Rappelez-vous qu’un circuit d’ampli op à rétroaction négative (comme les deux circuits illustrés par la Figure 3) peut être représenté sous la forme d’un système à boucle fermée classique (voir schéma de la Figure 4). Aol représente le gain en boucle ouverte de l’amplificateur, et β le facteur de rétroaction, défini dans cet exemple par les résistances R1 et R2.

Rappelez-vous également que l’équation 3 exprime le gain en boucle fermée pour ce système. Les ampli op affichent généralement des gains en boucle ouverte de 100 dB ou plus ; par conséquent, l’équation 3 simplifie le calcul en utilisant la valeur 1/β, la courbe correspondante étant utilisée dans l’analyse de stabilité.
![]()
Dans cet article, j’examinerai l’impact de la capacité d’entrée à l’aide d’une méthode d’analyse de la stabilité appelée ROC (Rate of Closure, taux de rapprochement). Celle-ci nécessite seulement d’observer le point d’intersection entre les courbes d’amplitude Aol et 1/β et leurs pentes. Elle montre aisément comment la capacité d’entrée et le réseau de résistances de contre-réaction affectent la stabilité du système, ce qui simplifie le choix d’une topologie de compensation. Pour plus d’informations sur la stabilité et sur le ROC, consultez la formation de TI Precision Labs sur la stabilité des ampli op, Section 10. [2]
Le Tableau 1 synthétise le comportement des pôles et des zéros.

Quelques éléments supplémentaires à garder à l’esprit concernant la stabilité :
Sur la courbe 1/β, les pôles et les zéros sont inversés ; ainsi, un zéro sur la courbe 1/β correspond à un pôle sur la courbe β.
La marge de phase du gain en boucle correspond à l’écart, en degrés, avant que le système entretienne une oscillation.
L’équation détermine le ROC d’un système comme suit :

Pour effectuer une analyse ROC, tracer les courbes Aol et 1/β sur les mêmes axes et observez la pente de chaque courbe au point d’intersection. Utilisez ces valeurs pour l’équation 4. Le Tableau 2 établit la corrélation entre le ROC, la marge de phase et la stabilité globale du système.
La Figure 5 représente un amplificateur idéal avec un pôle unique sur Aol et un gain d’ampli non-inverseur de 2 ou 6 dB. Aol affiche une pente de - 20 dB/décade et 1/β une pente de 0 dB/décade. Avec l’équation 4, on obtient un ROC de 20 dB/décade, ce qui donne une marge de phase du gain en boucle comprise entre 45 et 90 degrés.

La Figure 6a illustre les capacités d’entrée d’un amplificateur non-inverseur, qui forme un pôle dans le chemin de contre-réaction, lequel modifie le ROC. Les ingénieurs oublient souvent ce pôle lorsqu’ils conçoivent des circuits ; or, il peut provoquer des problèmes de stabilité.

La fréquence du pôle est déterminée par la résistance équivalente totale du chemin de contre-réaction, Req, et la capacité équivalente totale, Cin. Req correspond à la combinaison en parallèle de R1 et R2, et Cin à la combinaison en parallèle de CIC (sur l’entrée inverseuse) et CID. Comme l’illustrent les Figures 6b et 6c, on obtient ce résultat en court-circuitant Vin et Vout. La capacité d’entrée en mode commun de l’entrée non-inverseuse n’est pas un facteur pertinent, car elle est totalement mise à la terre.
L’équation 5 calcule la fréquence du pôle comme suit :

Si le circuit est doté de pistes longues ou d’autres sources de capacité dans le réseau de contre-réaction, il peut être utile d’ajouter une capacité parasite à Cin, notée Cpara dans l’équation 5. Cin doit intégrer toutes les capacités présentes en entrée de l’ampli op. Les bonnes pratiques de configuration des circuits permettent de limiter l’impact de Cpara grâce à des pistes courtes et à des plans de masse entiers.
La Figure 7 représente les courbes Aol et 1/β pour un circuit d’amplificateur, effet des capacités d’entrée inclus. Comparez-la à la Figure 5, dans laquelle 1/β présentait une fréquence constante. Le zéro de la courbe 1/β apparaît dans la courbe Aol de l’amplificateur, ce qui modifie le ROC. Au point d’intersection, Aol affiche une pente de -20 dB/décade et 1/β une pente de + 20 dB/décade. Si l’on utilise l’équation 5 pour trouver le ROC, et que l’on consulte le Tableau 2, on constate que la marge de phase du gain en boucle est inférieure à 45 degrés.

La fréquence du pôle créé par Req et Cin est indépendante de la bande passante en boucle ouverte de l’ampli op. Par conséquent, les ampli op qui présentent un produit gain-bande plus élevé sont plus sujets aux problèmes de stabilités provoqués par la capacité d’entrée. C’est ce que montre la Figure 8, qui représente le tracé des courbes Aol de deux ampli op hypothétiques : l’un avec une bande passante de 1 MHz (courbe verte), l’autre avec une bande passante de 100 MHz (courbe jaune). Si les deux amplificateurs présentent la même courbe 1/β, il s’ensuit que le circuit à bande passante plus élevée présente une courbe Aol qui rencontrera la courbe 1/β après la fréquence du pôle formé par la capacité d’entrée. Pour le même circuit, avec un ampli op à bande passante plus faible, l’intersection se fera avant la fréquence du pôle, avec une marge de phase supérieure à 45 degrés.

Enfin, il est pertinent de se pencher sur le gain du circuit, qui affecte la courbe 1/β. Si la topologie du circuit présente un gain faible, le point d’intersection entre Aol et 1/β correspondra à une fréquence plus élevée, ce qui augmentera la possibilité d’intersecter la portion croissante de 1/β et réduira la marge de phase.

Un circuit présentant un gain plus élevé est moins sujet aux instabilités, comme le montre la Figure 9 qui représente deux courbes 1/β possibles : l’une à 6 dB, l’autre à 60 dB. Aucun des ampli op n’est affecté par le pôle créé par la capacité d’entrée lorsque le gain est élevé.

Autre avantage d’une configuration à gain élevé : la résistante équivalente généralement inférieure du circuit de contre-réaction. Avec les équations 1 et 2, il est possible d’obtenir un gain supérieur avec des valeurs de R1 plus faibles. À titre d’exemple, comparons la résistance équivalente pour deux valeurs de gain :
G = 2 : R1 = 50 kΩ, R2 = 50 kΩ. Req = (R1||R2) = 25 kΩ.
G = 10 : R1 = 5 kΩ, R2 = 50 kΩ. Req = (R1||R2) = 4.55 kΩ.
Si l’on applique l’équation 5, le circuit à gain élevé présentera une fréquence de pôle près de cinq fois plus élevée que le circuit à faible gain.
Maintenant que vous saisissez l’impact de la capacité d’entrée, il existe quelques méthodes pour résoudre le problème. L’une d’entre elles consiste à tenir compte de la capacité d’entrée dans le choix de l’amplitude des résistances pour le réseau de contre-réaction du circuit. Bien que l’on n’utilise généralement pas de résistance très élevée (en dizaines d’ohms, voir en gigaohms), en raison du courant de polarisation en entrée et des limitations du courant de sortie des ampli op, des résistances en kiloohms peuvent poser problème en interagissant avec la capacité d’entrée de l’ampli op.
L’équation 6 permet de vérifier facilement s’il existe un problème de potentiel :

où Gcl est le gain en boucle fermée du montage noninverseur du système (voir équation 2) et GBW est le produit gain-bande passante de l’ampli op.
Le premier membre de l’équation 6 définit la bande passante en boucle fermée, BWCL. Tant que la fréquence de BWCL est inférieure à la fréquence du pôle, déterminée par le second membre de l’équation, la capacité d’entrée n’affectera que peu la stabilité du système.
Un pôle ou un zéro commence à impacter la phase d’un système une décade avant la fréquence de coupure. Même si fp_cin n’est que légèrement supérieur à BWCL, il impactera la marge de phase du gain en boucle. Mieux vaut donc que fp_cin soit entre 2 et 10 fois supérieur à BWCL. Pour un circuit non-inverseur, utilisez l’équation 2 comme contrainte pour le ratio entre R1 et R2, et adaptez l’équation 5. Puis, résolvez celle-ci pour R1 et R2 de sorte que fp_cin soit entre 2 et 10 fois supérieur à BWCL.
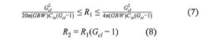
Les équations 7 et 8 vous aideront à choisir l’amplitude des résistances de contre-réaction :

Pour le circuit inverseur, l’équation 9 détermine R2 comme suit :
![]()
Vous pouvez également adapter l’équation 5 afin de trouver le produit gain-bande admissible le plus élevé pour une valeur Req donnée. Toujours en conservant, comme recommandé, une valeur de fp_cin entre 2 et 10 fois supérieure à BWCL, l’équation 10 permet de calculer une plage de produit gain-bande passante :

Comme le montre la Figure 10, associer un condensateur de contre-réaction CF à R2 crée un zéro, fz_cf, qui annule le pôle de capacité d’entrée et stabilise le système. [3] Cette méthode alternative fonctionne bien s’il n’est pas possible de changer les amplitudes des résistances.

L’Équation 11 égalise les fréquences du pôle et du zéro, de sorte que la fréquence de coupure du zéro soit comprise dans la bande passante en boucle fermée :

L’équation 12 calcule la capacité requise pour stabiliser le système :

Cette méthode de compensation réduit la bande passante du système. La nouvelle bande passante en boucle fermée dotée d’un condensateur de compensation est égale à la fréquence du zéro créé par CF et R2. Si vous avez besoin d’optimiser la bande passante du circuit, fz_cf peut être supérieur à fp_cin mais doit être inférieur à BWCL. Vous pouvez ajuster le placement de fz_cf en partant des résultats de l’équation 12 pour réaliser une simulation. Pour garantir la robustesse du circuit, mieux vaut être prudent dans le choix de CF en raison des tolérances des composants et des variations de la capacité d’entrée.
Les modèles les plus récents d’ampli op de TI représentent avec précision la capacité d’entrée et le gain en boucle ouverte, nécessaires à des simulations précises de la stabilité du système. Si un modèle SPICE n’inclut pas cette capacité, ajoutez un condensateur au niveau de la sortie inverseuse de l’ampli op, comme le montre la Figure 10. Pour en savoir plus sur la simulation des paramètres, consultez la série « Designing with a complete simulation test bench for op amps » (Concevoir des circuits avec un banc d’essai de simulation complet pour les ampli op). [4]
À titre d’exemple, voici un concept d’amplificateur noninverseur basé sur l’OPA322, qui affiche un produit gainbande de 20 MHz. D’après la fiche technique, la capacité d’entrée différentielle est de 5 pF et la capacité d’entrée en mode commun de 4 pF. La Figure 11 illustre quatre variantes d’amplificateur non-inverseur présentant un gain de 2, avec des résistances de contre-réaction de différentes amplitudes.

Utilisez l’équation 5 afin de calculer la fréquence du pôle créé par la capacité d’entrée et la résistance du circuit de contre-réaction (sans tenir compte de capacité parasite). Dans tous les cas, Cin est identique. Le Tableau 3 présente la fréquence de pôle calculée pour chaque cas.

La Figure 12 représente les courbes Aol et 1/β pour les scénarios A à D, ainsi que les marges de phase correspondantes. Pour les scénarios présentant des résistances équivalentes de 5 kΩ et 50 kΩ, le pôle créé par Cin affectera négativement la stabilité du système, car sa fréquence sera inférieure à la bande passante en boucle fermée dudit système (10 MHz d’après l’équation 6). Pour garantir la robustesse de conception du système dans ce scénario, la valeur de Req doit avoisiner 500 Ω.

Un condensateur de compensation peut participer à stabiliser le scénario C du Tableau 1, comme le montre la Figure 13. L’équation 12 donne une valeur de 4,5 pF.

La Figure 14 compare le circuit non compensé à sa version compensée, et montre que le condensateur joue bien son rôle de stabilisation. L’analyse de stabilité du circuit non compensé donne une marge de phase de 10 degrés. Avec le condensateur de compensation CF, elle passe à 86 degrés.

Les paramètres souvent oubliés sur les ampli op peuvent provoquer des problèmes de stabilité – c’est notamment le cas des capacités d’entrée. Celles-ci sont particulièrement problématiques quand on utilise des ampli op à produit gain-bande élevé ou des résistances de contreréaction élevées. Alors, prenez le temps qu’il faut pour vérifier qu’elles n’auront aucune incidence sur la stabilité. En cas de problème de potentiel, réduisez les valeurs des résistances du circuit de contre-réaction, ou envisagez d’utiliser un condensateur de compensation.
Documents de référence (en anglais) :
1. Trump, Bruce. Input Capacitance—commonmode ?... differential ?… huh ? (La capacité d’entrée – de mode commun ? différentielle ? hein ?) article publié sur le blog de la communauté TI E2E™, 15 janvier 2013.
2. TI Precision Labs – Op Amps. Section 10 : Op Amps : Stability (Ampli op. Section 10 : Stabilité)
3. Trump, Bruce. Taming the Oscillating Op Amp (Dompter les oscillations des ampli op). article publié sur le blog de la communauté TI E2E, 30 mai 2012.
4. Williams, Ian. Série d’articles : « Designing with a complete simulation test bench for op amps » (Concevoir des circuits avec un banc d’essai de simulation complet pour les ampli op) : Partie 1. Partie 2. Partie 3. Partie 4.